你提供的照片可能用于改善必应图片处理服务。
隐私政策
|
使用条款
无法使用此链接。检查链接是否以 "http://" 或 "https://" 开头,然后重试。
无法处理此搜索。请尝试其他图像或关键字。
试用视觉搜索
使用图像搜索、识别对象和文本、翻译或解决问题
将一个或多个图像拖到此处,
上传图像
或
打开相机
将图像放到此处以开始搜索
要使用可视化搜索,请在浏览器中启用相机
English
全部
搜索
图片
灵感
创建
集合
视频
地图
资讯
更多
购物
航班
旅游
笔记本
自动播放所有 GIF
在这里更改自动播放及其他图像设置
自动播放所有 GIF
拨动开关以打开
自动播放 GIF
图片尺寸
全部
小
中
大
特大
至少... *
自定义宽度
x
自定义高度
像素
请为宽度和高度输入一个数字
颜色
全部
仅限颜色
黑白
类型
全部
照片
剪贴画
素描
动画 GIF
透明
版式
全部
方形
横版
高
人物
全部
仅脸部
半身像
日期
全部
过去 24 小时
过去一周
过去一个月
去年
授权
全部
所有创作共用
公共领域
免费分享和使用
在商业上免费分享和使用
免费修改、分享和使用
在商业上免费修改、分享和使用
详细了解
清除筛选条件
安全搜索:
中等
严格
中等(默认)
关闭
筛选器
768×1024
scribd.com
Definite Integrals | PDF | Trigonome…
768×1024
scribd.com
Derivatives Integrals Trig For…
768×1024
scribd.com
Trig Integrals: Things We Kno…
791×1024
trigidentities.net
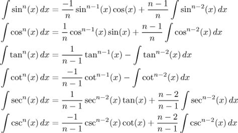
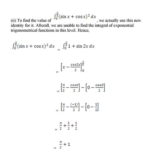
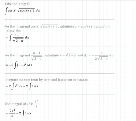
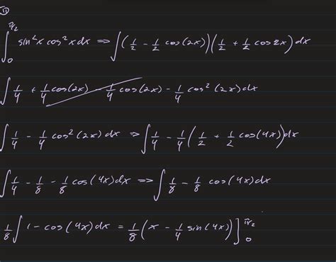
integration formulas-5 | Trig…
474×266
calcworkshop.com
Trig Integrals
768×1024
scribd.com
integral of trig func | PDF
540×450
practiceproblems.org
Integrals Involving Trig Functions - Calculus 2 Tri…
493×276
ar.inspiredpencil.com
Trig Integrals
1280×720
ar.inspiredpencil.com
Trig Integrals
640×480
ar.inspiredpencil.com
Trig Integrals
1280×720
artofit.org
Indefinite trig integrals an intro to definite integrals in calculus 1 ...
544×1066
math.info
List of Integrals of Trig and Inv…
720×540
SlideServe
PPT - Inverse Trig Functions and Standard Integrals PowerPoint ...
620×576
cuemath.com
Inverse Trig Integrals | Integrals of Inverse Trig …
768×1024
scribd.com
Trig Integrals and Derivatives | P…
750×750
teachoo.com
Integration Formulas - Trig, Definite Integrals - Class 12 - P…
945×945
teachoo.com
Integration Formulas - Trig, Definite Integrals - Class 12 - P…
945×945
teachoo.com
Integration Formulas - Trig, Definite Integrals - Class 12 - P…
1024×768
SlideServe
PPT - Lecture 12 – Trig Integrals PowerPoint Presentation, free ...
2760×3928
mth116appliedcalculusii.wordpress.com
April 5: integrals with trig functions – MT…
480×360
ar.inspiredpencil.com
Trig Derivatives And Integrals
1741×1841
ar.inspiredpencil.com
Trig Derivatives And Integrals
478×357
andymath.com
Indefinite Integrals (Trigonometric Functions) | andymath.com
1203×940
www.reddit.com
trig integrals : r/calculus
800×800
apcalcprep.com
Example 1: Definite Integral Trig Function …
1200×1553
studocu.com
Trig-integrals - Trig-integrals - …
611×543
math.stackexchange.com
calculus - Definite integration problem (trig). - Mathemati…
1377×779
www.reddit.com
[Calculus 2; integrals of trig functions] in which cases do I know when ...
1280×960
docsity.com
Integrals of Trigonometric Functions | Lecture notes Engineering ...
1200×675
examples.com
Unit 6.2 - Accumulation Functions, the Fundamental Theorem of Calculus ...
365×415
web-formulas.com
Integrals of Trigonometric Functi…
2048×1536
slideshare.net
Integration of all 6 trig functions | PPTX
820×659
mathvault.ca
Troubleshooting: Evaluating a Trigonometric Integral Algebraically ...
1700×2200
trigidentities.net
Integration Formula For Trigonometry F…
1436×1542
amathtutor.blogspot.com
An A Maths Tutor's Thoughts..: 2010 Paper …
某些结果已被隐藏,因为你可能无法访问这些结果。
显示无法访问的结果
报告不当内容
请选择下列任一选项。
无关
低俗内容
成人
儿童性侵犯
反馈