English
全部
搜索
图片
视频
短视频
地图
资讯
更多
购物
航班
旅游
笔记本
报告不当内容
请选择下列任一选项。
无关
低俗内容
成人
儿童性侵犯
时长
全部
短(小于 5 分钟)
中(5-20 分钟)
长(大于 20 分钟)
日期
全部
过去 24 小时
过去一周
过去一个月
去年
清晰度
全部
低于 360p
360p 或更高
480p 或更高
720p 或更高
1080p 或更高
源
全部
Dailymotion
Vimeo
Metacafe
Hulu
VEVO
Myspace
MTV
CBS
Fox
CNN
MSN
价格
全部
免费
付费
清除筛选条件
安全搜索:
中等
严格
中等(默认)
关闭
筛选器
0:58
Facebook
Able Lingo ASL - American Sign Language
❤️ FREE PDF ASL Word Search: https://ablelingo.com/asl-free-word-search/ . #ablelingo_asl #fingerspelling #asl #signlanguage #americansignlanguage #learntosign
Able Lingo ASL - American Sign Language. . ️ FREE PDF ASL Word Search: https://ablelingo.com/asl-free-word-search/ . #ablelingo_asl #fingerspelling #asl #signlanguage #americansignlanguage #learntosign #learnsignlanguage #homeschool
已浏览 699 次
2024年7月31日
相关产品
ASL Poster
Easy ASL
Learn Sign Language ASL
#ASL Grammar
ASL Sentence Structure: The Basics - SlideServe
slideserve.com
2014年8月21日
A short explanation of ASL grammar & structure with examples #ASL #facebookreels | ASL SuzyQ
Facebook
4 个月之前
热门视频
0:21
Curious how to use the ASL Dictionary? 👀 Here’s a quick look at how to search for signs, explore definitions, and make the most of this one-of-a-kind ASL resource! ✨ Try it yourself at theasldictionary.com (Video Description in the comments.) #ASLDictionary #DeafMade #Monolingual #Dictionary #ASLEducation #DeafCommunity #DawnSignPress | DawnSignPress
Facebook
DawnSignPress
已浏览 5.1万 次
4 个月之前
0:06
"find" American Sign Language (ASL)
lifeprint.com
2010年1月28日
Sign Language (ASL) Wordsearch- 10 puzzles (packet 1)
teacherspayteachers.com
已浏览 62 次
2023年1月24日
ASL for Beginners
0:06
Learn Basic Sign Language - ASL Tutorial for Beginners
TikTok
learn.asl.with.us
已浏览 2010万 次
2023年5月21日
0:07
Learn Basic ASL Signs with Simple Communication
TikTok
learn.asl.with.us
已浏览 1080万 次
2023年2月1日
A Beginner’s Guide to Learning American Sign Language | Start ASL
startasl.com
2022年4月6日
0:21
Curious how to use the ASL Dictionary? 👀 Here’s a quick look a
…
已浏览 5.1万 次
4 个月之前
Facebook
DawnSignPress
0:06
"find" American Sign Language (ASL)
2010年1月28日
lifeprint.com
Sign Language (ASL) Wordsearch- 10 puzzles (packet 1)
已浏览 62 次
2023年1月24日
teacherspayteachers.com
ASL Word Search - Fingerspelling Names #2
已浏览 2 次
2019年5月20日
teacherspayteachers.com
0:15
Learn American Sign Language Basics with Colorful Visuals
已浏览 4.8万 次
2021年12月18日
TikTok
asl_girls198
0:03
search/look for/seek
已浏览 2.4万 次
2016年7月22日
YouTube
Signs
ASL detector
2022年4月17日
devpost.com
1:03:49
2022首发巨作!国外大佬带你学习简单手势检测美式手语 ASL 计算机视
…
已浏览 700 次
2022年7月18日
bilibili
CV视觉大咖
1:49
Search, Ponder, & Pray (ASL)
已浏览 4591 次
2016年5月8日
YouTube
K&Q Interviews
0:08
Sign Language Word Search ASL - Etsy
已浏览 19 次
2 个月之前
etsy.com
0:04
trace-search and find ASL
已浏览 1639 次
2014年9月12日
YouTube
ASL Dictionary
0:59
Repost: Learn the ASL Alphabet with me! #ASL #Alphabet #deafco
…
已浏览 2700 次
2023年10月27日
Facebook
ASL & LSM
Essential ASL Phrases: Quick Start Guide - Free Video Lessons
2021年1月4日
signlanguage101.com
Insightful Datasets for ASL recognition
2024年8月12日
hackster.io
Volunteer with ASL Ministry - Search for Jesus
8 个月之前
searchforjesus.net
2:13
Search, Ponder and Pray ASL Primary Song
已浏览 1.6万 次
2018年12月17日
YouTube
Primary Choristers
6:35
ASL字母手语识别系统
已浏览 15 次
9 个月之前
bilibili
hhsj919
5:01
ASL Word Search Level 1 Puzzle | Fingerspelling Recognition | Amer
…
已浏览 356 次
2024年2月19日
YouTube
Able Lingo ASL
1:39
How to sign GOOGLE and SEARCH / look for in American Sign Langu
…
已浏览 1.1万 次
2022年10月10日
YouTube
ASLMeredith
11:37
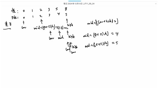
折半查找、折半查找判定树、ASL计算
已浏览 754 次
2024年12月12日
bilibili
洛阳高志远
6:34
8 Tips For iPhone Motorcycle Navigation / SatNav
已浏览 3.6万 次
2017年1月17日
YouTube
MOTOBOB
0:51
Crews Continue Searching For Missing Tennessee Toddler - Newsy
已浏览 7983 次
2016年1月17日
YouTube
Scripps News
13:15
THE MIRACLE : CM12 (Android 5.0.2) daily used ROM now on I9100
已浏览 8万 次
2014年12月24日
YouTube
paymad man
0:47
ASL signs for look, search, watch, and stare / Learn ASL
已浏览 1475 次
5 个月之前
YouTube
ASLTutorSean
6:34
你需要知道的25个ASL标志| ASL基础知识|适合初学者的美国手语
已浏览 297 次
2024年9月21日
bilibili
SoLoMoN-BG4IVD
12:10
Dino Crisis 3 HD Walkthrough Part 19
已浏览 3896 次
2012年11月21日
YouTube
Yhe_OldWyvernOne Gaming (Shido)
1:16
Freitag der 13., lustiges Gedicht von Thomas Koppe
已浏览 1.5万 次
2012年10月1日
YouTube
Thomas Koppe
6:29
Dodge / Chrysler A604 & 41TE Transmission Control Solenoid In
…
已浏览 13.8万 次
2016年3月16日
YouTube
ATP Automotive
4:26
2012 Meridian 341 Motor Yacht - Exterior, Interior Walkaround - 201
…
已浏览 1.3万 次
2014年9月12日
YouTube
BoatTube
展开
更多类似内容
反馈