How to Convert Ternary to Decimal 的热门建议 |
- Balanced
Scorecard - Setun
Computer - Convert
Any Base to Decimal - Convert Decimal to
Binary - How to Convert Decimal to
Binary - Hexadecimal
Number - Decimal to
Binary Converter - Balanced
Ternary - Basen
Arithmetic - Ternary
Numeral System Vs. Binary - Octal
Number - Coverting Decimal
Denary to Binary - How to
Change Binary to Decimal - Ternary
Numeral System Tutorial - Ternary
Numeral System - Le Transcodage Binaire En
Decimal - Quaternary
Number - How to Convert
Bin to Dec - Radix
Economy - Converting Decimal to
Binary - Decimal
Number - Ternary
Numeral System History - Binary
Number - How to Convert
Floats to Binary - Binary Base
10 Chart - Binary to Decimal
Conversion Method - Binary to Decimal
Somali - Binary
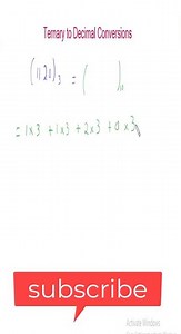
to Decimal - Ternary
Numeral System Logic Gates - Decimal to
Binary Conversion - Ternary
Numeral System Applications - C0overting Bianary Numbers to Decial
- Ternary
Numeral System Calculator - Converting Binary to
Base 2 Number - Ternary
Numeral System Conversion - Binary to
Number Conversion - Ternary
Numeral System Examples
观看更多视频
更多类似内容
