English
全部
搜索
图片
视频
短视频
地图
资讯
更多
购物
航班
旅游
笔记本
报告不当内容
请选择下列任一选项。
无关
低俗内容
成人
儿童性侵犯
时长
全部
短(小于 5 分钟)
中(5-20 分钟)
长(大于 20 分钟)
日期
全部
过去 24 小时
过去一周
过去一个月
去年
清晰度
全部
低于 360p
360p 或更高
480p 或更高
720p 或更高
1080p 或更高
源
全部
Dailymotion
Vimeo
Metacafe
Hulu
VEVO
Myspace
MTV
CBS
Fox
CNN
MSN
价格
全部
免费
付费
清除筛选条件
安全搜索:
中等
严格
中等(默认)
关闭
筛选器
8:46
Khan Academy
Sal Khan,CK-12 Foundation
Simplifying higher-index roots
Multiple examples of simplifications of higher-index radicals. For example, simplifying ⁵√96 as 2⁵√3.
2011年2月20日
Log Equations Examples
2:48
Solving Logarithmic Equations
openalgebra.com
2018年8月11日
Solving Log Equations Video Lesson (streaming AND download included)
teacherspayteachers.com
2020年5月26日
0:13
𝘗𝘰𝘸𝘦𝘳 𝘟 🔥𝘝𝘢𝘭𝘶𝘦 𝘚𝘰𝘭𝘷𝘦!! 𝘍𝘰𝘳 𝘝𝘢𝘭𝘪𝘥 𝘟 𝘌𝘹𝘱𝘰𝘯𝘦𝘯𝘵𝘪𝘢𝘭 𝘱𝘰𝘸𝘦𝘳 𝘙𝘶𝘭𝘦 #maths #log#equation #💯
YouTube
𝘿𝙞𝙜𝙞𝙩𝙖𝙡 𝙏𝙞𝙥𝙨 𝐔𝐉
已浏览 449 次
2 个月之前
热门视频
Seventh Grade Simplifying Algebraic Expressions Worksheets
twinkl.co.th
已浏览 14 次
5 个月之前
3:07
Simplifying radical expressions: two variables
Khan Academy
Sal Khan,Monterey Institute
2011年6月24日
0:46
Simplifying Logarithmic Expressions Using Laws of Logs
YouTube
Clinton_Tutor
已浏览 55 次
2 个月之前
Log Equations Calculator
3:51
Solving equations by graphing: graphing calculator
Khan Academy
2019年7月25日
Solving Equations with Logarithms Pt 3
YouTube
ProfRobBob
已浏览 6.6万 次
2011年11月1日
Algebra 2: Solve Logarithmic Equations in Under a Minute
TikTok
algebra2easy
已浏览 887 次
2024年3月25日
Seventh Grade Simplifying Algebraic Expressions Worksheets
已浏览 14 次
5 个月之前
twinkl.co.th
3:07
Simplifying radical expressions: two variables
2011年6月24日
Khan Academy
Sal Khan,Monterey Institute for Technology an…
0:46
Simplifying Logarithmic Expressions Using Laws of Logs
已浏览 55 次
2 个月之前
YouTube
Clinton_Tutor
6:59
Simplifying Logarithms: A Step by Step Guide to Basic Properties
3 个月之前
YouTube
Cipher
0:31
Can you Simplify this logarithm? #maths #algebra #logarithm #mat
…
已浏览 42 次
2 个月之前
YouTube
Easy-way Maths
6:13
Logarithmic Equation - solving an amazing equation by changing th
…
已浏览 8 次
1 个月前
YouTube
Understanding Mathematics Academy
1:25
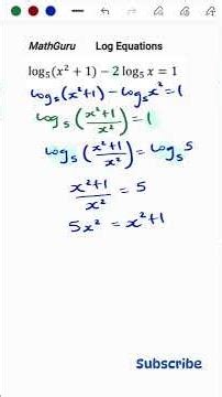
Logarithmic Equations
已浏览 245 次
1 周前
YouTube
MathGuru
Simplify Logarithms with Easy Math Tips
已浏览 22.7万 次
2024年8月2日
TikTok
gpadlearnmaths
Logarithms 12 Simplifying Log equations
已浏览 1602 次
2015年3月24日
YouTube
Joel Speranza Math
5:00
Solving Simple Log equations
已浏览 2万 次
2011年12月13日
YouTube
wallaceopenmath
10:34
Natural Logarithms
已浏览 27.3万 次
2012年5月24日
YouTube
Textbook Tactics
2:49
Natural Logarithms
已浏览 180.8万 次
2018年1月31日
YouTube
The Organic Chemistry Tutor
6:26
Simplify Logarithms
已浏览 12.2万 次
2013年5月28日
YouTube
Joel Tutors Math
19:15
Logarithms... How? (NancyPi)
已浏览 367.8万 次
2018年8月19日
YouTube
NancyPi
19:51
Logarithms - Practice Problems
已浏览 13万 次
2018年2月2日
YouTube
The Organic Chemistry Tutor
3:43
Condensing Logarithmic Expressions
已浏览 46.6万 次
2018年1月31日
YouTube
The Organic Chemistry Tutor
16:36
Solving Exponential Equations
已浏览 250.2万 次
2018年2月1日
YouTube
The Organic Chemistry Tutor
5:40
Properties of Logarithms
已浏览 112.9万 次
2018年1月31日
YouTube
The Organic Chemistry Tutor
4:36
Expanding Logarithmic Expressions
已浏览 67.5万 次
2018年1月31日
YouTube
The Organic Chemistry Tutor
15:05
Solving Logarithmic Equations... How? (NancyPi)
已浏览 95万 次
2018年10月7日
YouTube
NancyPi
25:27
Solving Logarithmic Equations
已浏览 481.7万 次
2018年2月1日
YouTube
The Organic Chemistry Tutor
12:03
Graphing Logarithmic Functions
已浏览 178.5万 次
2018年1月30日
YouTube
The Organic Chemistry Tutor
11:02
Introduction to Logarithms
已浏览 48.1万 次
2020年2月10日
YouTube
Tambuwal Maths Class
2:50
Simplifying Logarithmic Expressions
已浏览 8万 次
2011年10月13日
YouTube
DrPhilClark
10:20
Logarithms - The Easy Way!
已浏览 319.9万 次
2017年5月27日
YouTube
The Organic Chemistry Tutor
7:02
Logarithms | Logarithms | Algebra II | Khan Academy
已浏览 222.9万 次
2012年12月21日
YouTube
Khan Academy
22:47
Evaluating Inverse Trigonometric Functions
已浏览 176.4万 次
2021年1月30日
YouTube
The Organic Chemistry Tutor
21:18
Algebra 2 - Properties of Logarithms
已浏览 51万 次
2013年2月26日
YouTube
yaymath
3:08
❖ Solving Logarithmic Equations - Example 1 ❖
已浏览 90.6万 次
2010年9月12日
YouTube
Patrick J
观看更多视频
更多类似内容
反馈